-
2. Gasgleichnungen
2.1 Allgemeine Gasgleichung
Aus der Temperaturdefinition T = p·V · 100K/ ( pS·VS - pE ·VE) folgt unmittelbar: p·V/T = ( pS·VS - pE ·VE)]/ 100K.
Da der zweite Term der Menge des Gases proportional ist (bei konstantem Druck ist das Gasvolumen der Menge der im Gas vorhandenen Mole proportional), folgt: p·V/T ist der Zahl der im Gas enthaltenen Mole N proportional.
(p·V/T) / N = p·V/(T·N) = Gaskonstante R . R hat den Wert 8,316 Joule/(Kelvin·Mol).
p·V = N· R · T (Allgemeine Gasgleichung)
Ein Mol einer Substanz ist diejenige Menge, die genau so viele freie Teilchen (Moleküle bzw. ungebundene Atome) enthält wie 12 g des Kohlenstoffisotops 12C.
2.2 Die Grundgleichung der Kinetischen Gastheorie
Folgende Annahme erscheint gerechtfertigt: Ein Gas besteht aus unsichtbaren, kleinen Teilchen. Diese fliegen regellos im Raum herum und schlagen hin und wieder auf die Wände des Gasbehälters. Der Druckanstieg bei Erwärmung ist auf einen Zuwachs an kinetischer Energie dieser Teilchen zurückzuführen. Nimmt man an, dass der Gasdruck von der Behälterform und der Art der Teilchenbahnen unabhängig ist, dann ist die Berechnung des Gasdrucks leicht möglich. Wir lassen die n Teilchen der Masse m an der Innenfläche eines kugeligen Behälters mit der Geschwindigkeit v kreisen. Hierbei übt jedes Teilchen die Zentrifugalkraft m·v2/r auf die Behälterwand aus.

Zur Grundgleichung der kinetischen Gastheorie sollen nun zwei Herleitung gegeben werden, die der Wirklichkeit etwas besser angepasst ist.
1. Wir betrachten ein Gasmolekül der Masse m, welches auf die Innenwand eines kugelförmigen Gasbehälters mit der Geschwindigkeit v immer wieder aufschlägt.

Hierbei erfährt es eine Impulsänderung mit dem Betrag 2·m·v·cos(α). In einer Zeit t schlägt es z mal auf die Wand und erhält hierbei immer wieder die gleiche Impulsänderung dem Betrage nach. Für die mittlere Kraft F des Teilchens auf die Wand gilt demnach :
F = z·2·m·v·cos(α)/ t
z ist vom Weg s in der Zeit t abhängig. Zwischen zwei aufeinander folgenden Stößen wird der Weg 2·r·cos(α ) zurückgelegt.
z = s/[2·r·cos(α)] = v· t/[2·r·cos(α)]
F = {v· t/[2·r·cos(α)] }·{2·m·v·cos(α)/ t} = m· v2/r
n Teilchen üben somit die mittlere Kraft n·m· v2m /r auf die Wand aus.
Der Druck auf die Wand ist demnach p = n· m· v2m /(4·π·r 3).
v2m steht für den Mittelwert der v2. Dieser Mittelwert weicht von dem Quadrat des Mittelwerts von v ab. v2m ≈ (vm)2
4·π·r 3 ist das Dreifache des Kugelvolumens V. → p·V = (2/3)·n· m· v2m / 2
2. In der nächsten Abbildung ist eine Flächenabschnitt A aus einer Behälterwand eines Gasbehälters mit dem Volumen V zu sehen. Auf ihn prasseln Gasmoleküle der Masse m mit der Geschwindigkeit v.
Wir berechnen zunächst die Kraft dF, welche die Moleküle auf A ausüben, die mit einem Winkel zwischen α und α+dα auf die Wand stoßen.
Ein Molekül erteilt der Fläche A beim Stoß den Impuls 2·m·v·cos(α). Diejenigen Moleküle, welche in der Zeit t in dem Winkelbereich [α, α+dα] auf die Wand fliegen, kommen aus dem Raum t ·v·cos(α)·A. Es sind z = ρdα·t·v·cos(α)·A Teilchen. ρdα steht für die Konzentration der Teilchen ( Teilchenzahl pro Volumeneinheit) in dem genannten Raum, die unter einem Winkel zwischen α und α+dα auf die Wand stoßen. Der Gesamtimpuls Pg , den die Teilchen im Winkelbereich d α in der Zeit t auf die Wand ausüben, ist somit
|
Pg = 2·m·v·cos(α)·z = 2·m·v·cos(α)· ρdα·t ·v·cos(α)·A Pg = 2·m·v2 ·cos(α)2· ρdα·t ·A . Die von diesen Teilchen auf die Wand ausgeübte Kraft dF ist: dF = Pg/t = 2·m·v2 ·cos(α)2 · ρdα ·A. Für das Verhältnis von ρdα zur Gesamtkonzentration n/V der n Teilchen im Volumen V gilt: ρdα /(n/V) = 2· π·r·sin(α) ·r·d α / 4·π·r2 = 0,5·sin(α)· d α ρdα= 0,5 ·sin(α) ·(n /V)· d α |
|
2· π·r·sin(α) ·r·dα ( α im Bogenmaß) ist die Ringfläche zwischen den beiden roten Kreisen.
↓
dF = Pg/t = 2·m·v2 ·cos(α)2 ·A·0,5 ·sin α ·(n /V)· d α = m·v2 ·A ·(n /V)·A ·cos(α)2 ·sin(α)·d α
Die Teilchen die mit einem Winkel <= α ( Bogenmaß) auf die Wand treffen üben zusammen die Kraft F aus die Wand aus.
dF/d α = m·v2 ·A ·(n /V)·cos(α)2 ·sin (α ) → F = - m·v2 ·A·(n /V)·(1/3) · cos(α)3 + C
d cos(α)3/d α = -3·cos(α )2 ·sin (α) !
Die Konstante C ist so zu wählen, dass F für α = 0 den Wert 0 annimmt.
C = m·v2 ·A ·(n /V)·(1/3)
F = - m·v2 ·A ·(n /V)·(1/3) · cos(α)3 + m·v2 ·A ·(n /V)·(1/3)
Die Kraft aller Teilchen auf A erhält man mit α = π/2
Fgesamt = m·v2 ·A ·(n /V)·(1/3), cos (π/2) =0 !
Daraus folgt für den Gasdruck p = Fgesamt / A = m·v2 ·(n /V)·(1/3)
p · V = (1/3) · n · m·v2 → p·V = (2/3)·n· m· v2 / 2
Mittlere kinetische Energie der Gasmoleküle
p·V = (2/3)·n· m· v2m / 2 , p·V = N· R · T → (2/3)·n· m· v2m / 2 = N· R · T → (2/3)· m· v2m / 2 = R /(n/N) · T
n/N ist die Zahl der Teilchen in einem Mol, sie heißt Avogadrokonstante oder Loschmidtsche Zahl L. R/L ist unter dem Namen Boltzmannkonstante K bekannt.
↓
m· v2m / 2= K · T · (3/2) → m· vx2m / 2 + m· vy2m / 2 + m· vz2m / 2 = K · T · 3/2
m· vx2m / 2 = K · T /2 ; m· vy2m / 2 = K · T /2 ; m· vz2m / 2 = K · T /2
Auf jede Bewegungsrichtung entfällt die Energie K · T /2. Dies gilt sowohl für die Teilchen eines einelementigen Gases, als auch für alle Moleküle innerhalb eines Gases aus verschiedenen Elementen z.B. Wasserstoff und Sauerstoff.
Anmerkung: Einer Atomschwingung innerhalb eines Moleküls ist die Energie K · T zuzuordnen. Mit solchen Schwingungen ist nur bei hohen Temperaturen zu rechnen.
Über die Geschwindigkeit der Gasmoleküle
p· V = (2/3)·n· m· v2m / 2 → p· V = (2/3)·N· M· v2m / 2 ( N: Zahl der Mole, M: Molmasse)
p· V = (2/3)·N· M· v2m / 2 , p· V = N· R · T → R · T= M· v2m / 3 → v2m = 3· R· T / M, → vm ≈ √(3· R· T /M)
Nach der Gasgleichung ist bei Zimmertemperatur (293K) für ein Sauerstoffmolekül die mittlere Geschwindigkeit 470 m/s zu erwarten.
Zur Bestätigung der entwickelten Gleichung müssen die Molekülgeschwindigkeiten gemessen werden. Man lässt zu diesem Zweck einen Gasstrahl aus einem Gasbehälter in ein Vakuum austreten.

Von einer mit der Winkelgeschwindigkeit ω rotierenden Blende B im Rad 1 wird ein Teilchenpaket ausgeblendet. Dieses Paket fliegt mit der Geschwindigkeit v zu dem ebenfalls mit ω rotierenden Rad 2 und erzeugt dort einen Fleck . Dieser ist in Bezug auf B um den Winkel φ gedreht.
φ = ω·t ; t: Laufzeit des Paketes zwischen den beiden Rädern.
v·t = s ; t = s/v → φ = ω· (s/v) → v = ω·s/φ
Die Messungen entsprechen den Erwartungen und können deshalb als Bestätigung der Gasgleichungen gesehen werden.
2.3 Van-der-Waals-Gleichung
Die Grundgleichung der kinetischen Gastheorie wurde unter der Voraussetzung abgeleitet, dass die Teilchen keine Anziehungskräfte aufeinander ausüben und das Teilchenvolumen vernachlässigbar klein ist. Nach der Allgemeinen Gasgleichung gilt: p·V / N = R · T.
Nun ist davon auszugehen, dass nahe der Gefäßwand die Teilchen von den hinter ihnen fliegenden Teilchen zurückgezogen werden, was sich wie eine Abkühlung in der Nähe der Gefäßwand auswirkt. Die kinetische Energie der Teilchen wird kurz vor ihrem Aufprall vermindert. Es erscheint plausibel, dass die Teilchen umso stärker vor der Gefäßwand abgebremst werden, je höher Teilchenkonzentration ist. Vermutung: ΔT ~ N/V → ΔT/ ( N/V) = Konstante = c → ΔT = c· N/V → p·V/N = R · (T - c· N/V).
↓
p·V + R· c·N2 /V = N · R · T → [p+ R·c · (N/V)2]·V = N · R · T
Das Teilchenvolumen wird mit einem Abzug b vom Volumen V berücksichtigt. Für R· c wird a geschrieben.
[p + a· (N/V)2]·(V - b) = N · R · T ; Van-der-Waals-Gleichung
Behauptung: b ist das Vierfache des Teilchenvolumens.
Diese Behauptung ist leicht einzusehen, wenn man nur zwei Teilchen betrachtet, die man als kugelförmig mit dem Radius r annimmt. Die Abstände ihrer Schwerpunkte können nicht kleiner werden als 2· r. Das heißt: Der Raum im Gasbehälter wird für die Bewegung um 4·π·(2·r)3/3 = 8·4· π·r3/3 eingeschränkt. 8·4· π·r3/3 ist das Vierfache des Volumens, welches die beiden Teilchen einnehmen. Mit einer Computersimulation kann dies Annahme „b ist das Vierfache des Teilchenvolumens“ geprüft werden. Sie erweist sich dabei als zutreffend.
Man sieht: Das Boylesche Gesetz ist nur dann streng gültig, wenn die Wechselwirkungen zwischen den Molekülen und das Molekülvolumen keine Rolle spielen. Ein Gas mit solchen Eigenschaften heißt Ideales Gas.
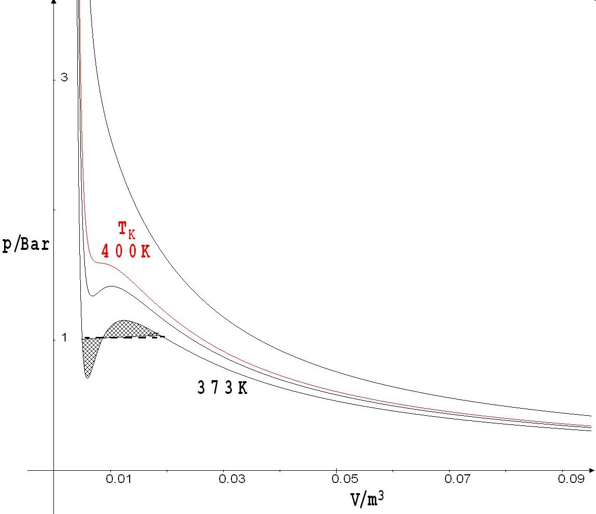
Nach nachfolgende Bild zeigt Isothermen nach der Van-der-Waals-Gleichung. Sie beschreiben die Abhängigkeit des Drucks p vom Volumen V eines Mols ( N=1) bei konstant gehaltener Temperatur.

Bei großem V machen sich die Korrekturglieder a/V2 und b kaum bemerkbar. Bei hohen Temperaturen erhält man die Isothermen des Boyleschen Gesetzes. Geht man zu geringeren Temperaturen über, dann erhält man Wendepunkte in den Isothermen, die eine beginnende Kondensation anzeigen. Die Temperatur, bei der diese Entwicklung durch Ausbildung eines Terrassenpunktes erkennbar wird, heißt kritische Temperatur TK . Nur unterhalb von TK, nicht oberhalb, kann eine Kondensation durch Kompression erreicht werden. Unterhalb von TK erhält man nach der Van-der-Waals-Gleichung Maxima und Minima.
Die durch Messung gefundenen Isothermen zeigen statt der Extrema den gestrichelten Verlauf. Dieser gestrichelte Kurvenabschnitt ist einer Kondensation des Gases zuzuordnen. Während der Kondensation bleibt der Druck trotz eines abnehmenden Volumens konstant. Diese gestrichelte Strecke muss so angelegt werden, dass die beiden schraffierten Flächen den gleichen Flächeninhalt haben.