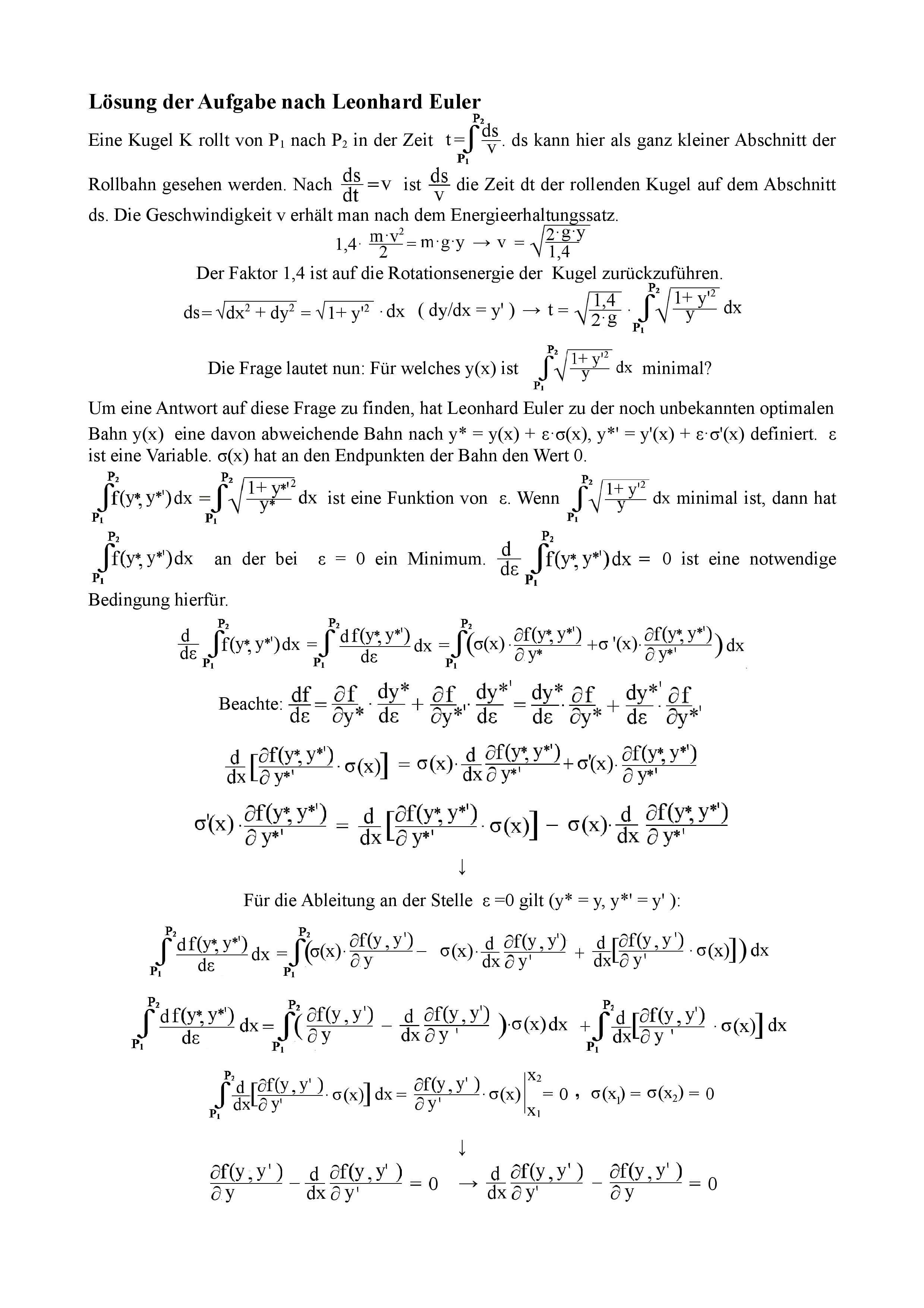
Nach Anklicken von Zykloide wird die Entstehung einer solchen Kurve vorgeführt.