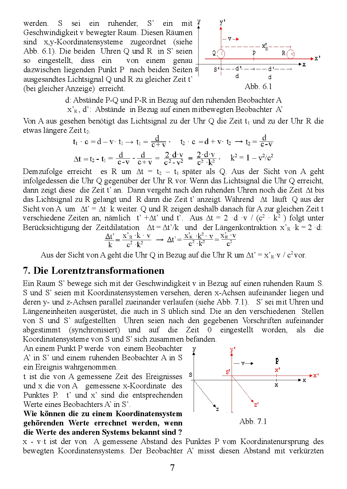
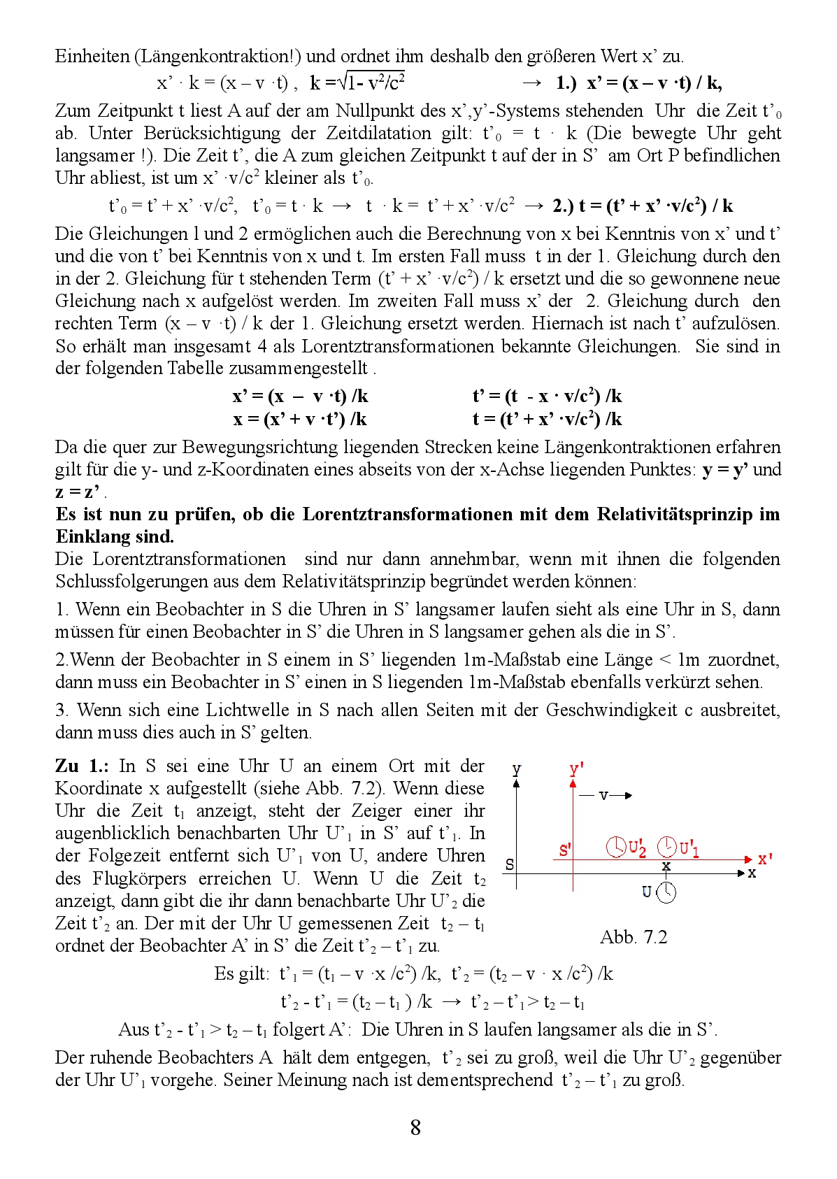
Das Minkowskidiagramm

Von der Relativitätstheorie zur Schrödingergleichung

Interessante Anwendung des relativistischen Additionsgesetzes der Geschwindigkeiten in der Elektrizitätslehre